Supongamos que tenemos la siguiente sucesión:

Y nos piden encontrar el término general de la sucesión,
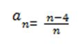
Entonces la escribiremos de la siguiente manera
1, 1/2, 1/3, 1/4, 1/5,…
Acá quiero hacer una pequeña pausa y te quiero recomendar que veas el video que muestro a continuación, estoy seguro que te ayudará a entender mejor el tema de las sucesiones:
Como podemos apreciar en la imagen la solución para esta sucesión aparece en la parte que dice:
Possible sequence identification:
Closed form:
Y en “Continuation” aparece la continuación de la sucesión .
Ahora veremos otro ejercicio realizándolo desde esta página con un widget que proporciona wolframAlpha.
La forma correcta para ingresarla en la aplicación es:
-3, -1, -1/3, 0, 1/5,…
Nota: sus ejercicios los pueden hacer desde acá, escribiéndolos y dando clic en respuesta.
Esta es una calculadora de sucesiones y es una herramienta para todos aquellos que se preguntan como resolver sucesiones numéricas
Si nos fijamos en la aplicación anterior podemos ver que la solución para esta secuencia es:
Los invito a que prueben y se darán cuenta lo útil que puede llegar ser esta aplicación.
Algo que es importante resaltar es que esta calculadora en linea no solo sirve para resolver sucesiones numéricas, también funciona para resolver muchas operaciones y ejercicios más.
Anímate a probarla y si tienes alguna duda, déjame un comentario y te explicaré cómo usarla.



